Pengertian
Adalah salah satu algoritma dasar dan populer untuk menyelesaikan masalah klasifikasi yang masuk dalam algrotima regresi non-linear. Dinamai sebagai ‘Regresi Logistik’, karena teknik dasarnya cukup mirip dengan Regresi Linier karena masih satu induk yaitu regresi.

Algoritma Logistic Regression digunakan untuk masalah klasifikasi, yang berupa analisis prediktif dan didasarkan pada konsep probabilitas.
Tujuan
Tujuan dari regresi logistik adalah untuk memperkirakan probabilitas sebuah peristiwa dengan variabel terikat yang berskala dikotomi.

Skala dikotomi yang dimaksud adalah skala data nominal dengan dua kategori, misalnya: Ya dan Tidak, Baik dan Buruk atau Tinggi dan Rendah.
Sebagai contoh,
- Untuk memprediksi apakah email itu spam (1) atau (0)
- Apakah tumornya ganas (1) atau tidak (0)
Jenis dari Logistic Regression
1. Regresi Logistik Biner
Tanggapan kategoris hanya memiliki dua 2 hasil yang mungkin. Contoh: Spam atau Tidak
2. Regresi Logistik Multinomial
Tiga atau lebih kategori tanpa memesan. Contoh: Memprediksi makanan mana yang lebih disukai (Veg, Non-Veg, Vegan)
3. Regresi Logistik Ordinal
Tiga atau lebih kategori dengan pemesanan. Contoh: Nilai film dari 1 hingga 5
Fungsi di dalam Logistic Regression
Fungsi Sigmoid
Untuk memetakan nilai prediksi ke probabilitas, kami menggunakan fungsi Sigmoid. Fungsi memetakan setiap nilai nyata menjadi nilai lain antara 0 dan 1. Dalam pembelajaran mesin, kami menggunakan sigmoid untuk memetakan prediksi ke probabilitas.


Representasi Hipotesis
Untuk regresi logistik memodifikasi sedikit dari rumus hipotesis linear regression

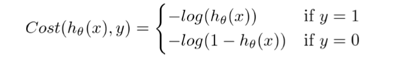
Fungsi Biaya
Dalam Linear Regression , fungsi biaya mewakili tujuan optimasi yaitu membuat fungsi biaya dan menguranginya sehingga dapat mengembangkan model yang akurat dengan kesalahan minimum.
Untuk regresi logistik, fungsi Biaya didefinisikan sebagai berikut.

Dua fungsi di atas dapat dikompresi menjadi fungsi tunggal yaitu

Mind Map : Data Mining – Supervised Learning – Regresi – Logistic Regression
Source:
https://towardsdatascience.com/understanding-logistic-regression-9b02c2aec102
https://towardsdatascience.com/logistic-regression-detailed-overview-46c4da4303bc
https://searchbusinessanalytics.techtarget.com/definition/logistic-regression
by 17106050027 – Andika Rizki Syahputra